A REI4b Solving Quadratic Equations using the Quadratic Formula RealSolutions

A-REI.4b Solving Quadratic Equations using the Quadratic Formula ...
A-REI.4b Solving Quadratic Equations using the Quadratic Formula ...
A-REI.4b Solving Quadratic Equations using the Quadratic Formula ...
A-REI.4b Solving Quadratic Equations using the Quadratic Formula ...
A-REI.4b Solving Quadratic Equations using the Quadratic Formula ...
A-REI.4b Solving Quadratic Equations using the Quadratic Formula ...
PPT - Solving Quadratic Equations Using the Quadratic Formula ...
PPT - Solving Quadratic Equations Using the Quadratic Formula ...
PPT - Solving Quadratic Equations Using the Quadratic Formula ...
PPT - Solving Quadratic Equations Using the Quadratic Formula ...
PPT - Solving Quadratic Equations Using the Quadratic Formula ...
PPT - Solving Quadratic Equations Using the Quadratic Formula ...
PPT - Solving Quadratic Equations Using the Quadratic Formula ...
PPT - Solving Quadratic Equations Using the Quadratic Formula ...
PPT - Solving Quadratic Equations Using the Quadratic Formula ...
PPT - Solving Quadratic Equations Using the Quadratic Formula ...
Solving Quadratic Equations Using the Quadratic Formula Notes - YouTube
Solving Quadratic Equations Using the Quadratic Formula Notes - YouTube
Solving a Quadratic Equation by the Quadratic Formula and Using the ...
Solving a Quadratic Equation by the Quadratic Formula and Using the ...
Solving Quadratic Equations Using The Quadratic Formula (Answers) | PDF ...
Solving Quadratic Equations Using The Quadratic Formula (Answers) | PDF ...
Solving Quadratic Equations Using the Quadratic Formula - YouTube
Solving Quadratic Equations Using the Quadratic Formula - YouTube
Solving Quadratic Equations Using The Quadratic Formula | Channels for ...
Solving Quadratic Equations Using The Quadratic Formula | Channels for ...
Solving Quadratic Equations Using The Quadratic Formula & By Factoring ...
Solving Quadratic Equations Using The Quadratic Formula & By Factoring ...
Solving Quadratic Equations Using The Quadratic Formula Worksheet
Solving Quadratic Equations Using The Quadratic Formula Worksheet
Lesson 10-6 Solving Quadratic Equations using the Quadratic Formula ...
Lesson 10-6 Solving Quadratic Equations using the Quadratic Formula ...
Solving Quadratic Equations Using The Formula — Steemit
Solving Quadratic Equations Using The Formula — Steemit
Solving Quadratic Equations Using the Quadratic Formula Task Cards ...
Solving Quadratic Equations Using the Quadratic Formula Task Cards ...
A18c – Solving quadratic equations using the quadratic formula ...
A18c – Solving quadratic equations using the quadratic formula ...
Solving Quadratics Equations by Using the Quadratic Formula | Teaching ...
Solving Quadratics Equations by Using the Quadratic Formula | Teaching ...
Solving a Quadratic Equation Using the Quadratic Formula - Rational ...
Solving a Quadratic Equation Using the Quadratic Formula - Rational ...
Solving Quadratic Equations Using the Quadratic Formula - YouTube
Solving Quadratic Equations Using the Quadratic Formula - YouTube
Topic: Solving Quadratic Equations Using the Quadratic Formula
Topic: Solving Quadratic Equations Using the Quadratic Formula
Solving Quadratic Equations using the Quadratic Formula Matching ...
Solving Quadratic Equations using the Quadratic Formula Matching ...
Solving Quadratic Equations (by using the Quadratic Formula) | Teaching ...
Solving Quadratic Equations (by using the Quadratic Formula) | Teaching ...
How To Solve Quadratic Equations Using The Quadratic Formula ...
How To Solve Quadratic Equations Using The Quadratic Formula ...
How to Solve a Quadratic Equation Using the Quadratic Formula - A Quick ...
How to Solve a Quadratic Equation Using the Quadratic Formula - A Quick ...
Solving Quadratic Equations using Quadratic Formula Digital Self-Check ...
Solving Quadratic Equations using Quadratic Formula Digital Self-Check ...
Solving Quadratic Equations using Quadratic Formula Digital Self-Check ...
Solving Quadratic Equations using Quadratic Formula Digital Self-Check ...
Have fun practicing solving quadratic equations using the quadratic ...
Have fun practicing solving quadratic equations using the quadratic ...
Solving Quadratic Equations Using Quadratic Formula | PDF
Solving Quadratic Equations Using Quadratic Formula | PDF
Ex 3: Solve a Quadratic Equation Using the Quadratic Formula - 2 Real ...
Ex 3: Solve a Quadratic Equation Using the Quadratic Formula - 2 Real ...
Solving Quadratic Equations Using Quadratic Formula | PDF
Solving Quadratic Equations Using Quadratic Formula | PDF
solving quadratic equations using quadratic formula | Algebra | TPT
solving quadratic equations using quadratic formula | Algebra | TPT
Solving Quadratic Equations by the Quadratic Formula THE
Solving Quadratic Equations by the Quadratic Formula THE
PPT - 11.3 Solving Quadratic Equations by the Quadratic Formula ...
PPT - 11.3 Solving Quadratic Equations by the Quadratic Formula ...
Review Game Solving Quadratic Equations Using Quadratic Formula - Real ...
Review Game Solving Quadratic Equations Using Quadratic Formula - Real ...
6.05 Solve Quadratic Equations with Real Solutions Using the Quadratic ...
6.05 Solve Quadratic Equations with Real Solutions Using the Quadratic ...
Notes Solve Quadratic Equations Using Quadratic Formula - Real ...
Notes Solve Quadratic Equations Using Quadratic Formula - Real ...
Solving Quadratics with the Quadratic Formula (real solutions only)
Solving Quadratics with the Quadratic Formula (real solutions only)
How to use the Quadratic Formula to Solve Quadratic Equations - YouTube
How to use the Quadratic Formula to Solve Quadratic Equations - YouTube
Notes Solve Quadratic Equations Using Quadratic Formula - Real ...
Notes Solve Quadratic Equations Using Quadratic Formula - Real ...
Notes Solve Quadratic Equations Using Quadratic Formula - Real ...
Notes Solve Quadratic Equations Using Quadratic Formula - Real ...
Notes Solve Quadratic Equations Using Quadratic Formula - Real ...
Notes Solve Quadratic Equations Using Quadratic Formula - Real ...
Solving Equation for all Real Solutions by Using Quadratic Formula ...
Solving Equation for all Real Solutions by Using Quadratic Formula ...
Solving Quadratic Equations by Formula – First Steps Worksheet ...
Solving Quadratic Equations by Formula – First Steps Worksheet ...
Solving Quadratic Equations Using Different Methods by Learn With Lombardi
Solving Quadratic Equations Using Different Methods by Learn With Lombardi
Solving Quadratic Equations #2, Using Quadratic Formula, Real (integer ...
Solving Quadratic Equations #2, Using Quadratic Formula, Real (integer ...
Quadratic Formula Examples Solving Quadratic Equations By Factoring
Quadratic Formula Examples Solving Quadratic Equations By Factoring
Solve Quadratic Equations Using Quadratic Formula Algebra 1 | Digital
Solve Quadratic Equations Using Quadratic Formula Algebra 1 | Digital
Quadratic Formula Examples Solving Quadratic Equations By Factoring
Quadratic Formula Examples Solving Quadratic Equations By Factoring
Solving Quadratic Equations (C) - By Quadratic Formula Worksheet ...
Solving Quadratic Equations (C) - By Quadratic Formula Worksheet ...
Quadratic Formula Examples Solving Quadratic Equations By Factoring
Quadratic Formula Examples Solving Quadratic Equations By Factoring
Choose the best method for solving a quadratic equation | Quadratics ...
Choose the best method for solving a quadratic equation | Quadratics ...
Quadratic Formula Examples Solving Quadratic Equations By Factoring
Quadratic Formula Examples Solving Quadratic Equations By Factoring
HSA-REI.B.4b Using the Quadratic Formula – Digital & Print Bundle
HSA-REI.B.4b Using the Quadratic Formula – Digital & Print Bundle
HSA-REI.B.4b Using the Quadratic Formula – Digital & Print Bundle
HSA-REI.B.4b Using the Quadratic Formula – Digital & Print Bundle
Solving Quadratic Equation Using Quadratic Formula | PDF
Solving Quadratic Equation Using Quadratic Formula | PDF
Student Tutorial: Solving Quadratic Equations | Media4Math
Student Tutorial: Solving Quadratic Equations | Media4Math
The Quadratic Formula (examples, solutions, videos)
The Quadratic Formula (examples, solutions, videos)
Examples of Solving Quadratics Using the Formula
Examples of Solving Quadratics Using the Formula
How to Solve Quadratic Equations Step by Step | Solving Quadratic ...
How to Solve Quadratic Equations Step by Step | Solving Quadratic ...
Examples of Solving Quadratics Using the Formula
Examples of Solving Quadratics Using the Formula
Examples of Solving Quadratics Using the Formula
Examples of Solving Quadratics Using the Formula
Examples of Solving Quadratics Using the Formula
Examples of Solving Quadratics Using the Formula
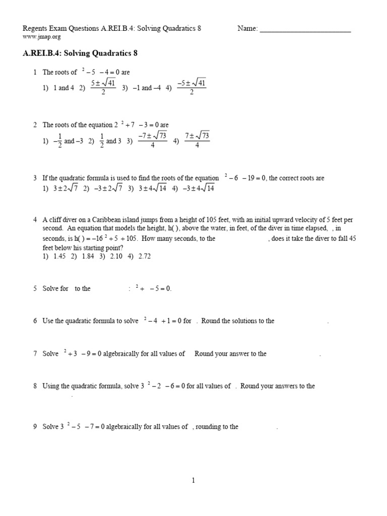
A Rei B 4 SolvingQuadratics8 | PDF | Quadratic Equation | Equations
A Rei B 4 SolvingQuadratics8 | PDF | Quadratic Equation | Equations
Solving Quadratics / Quadratic Equations - Real Solutions Practice
Solving Quadratics / Quadratic Equations - Real Solutions Practice
Solving Quadratic Equations and Graphing Parabolas
Solving Quadratic Equations and Graphing Parabolas
Lesson 3.2 Solving Quadratic Equations by Quadratic Formula.pptx
Lesson 3.2 Solving Quadratic Equations by Quadratic Formula.pptx
HSA-REI.B Assessment: Solving Quadratic Equations | TPT
HSA-REI.B Assessment: Solving Quadratic Equations | TPT
Solving Quadratic Equations by Graphing - Math Steps & More!
Solving Quadratic Equations by Graphing - Math Steps & More!
Using A Quadratic Graph To Solve A Quadratic Equation
Using A Quadratic Graph To Solve A Quadratic Equation
Solved Use the quadratic formula to find all real solutions | Chegg.com
Solved Use the quadratic formula to find all real solutions | Chegg.com
Solved Use the quadratic formula to find all real solutions | Chegg.com
Solved Use the quadratic formula to find all real solutions | Chegg.com
Solved Use the quadratic formula to find all real solutions | Chegg.com
Solved Use the quadratic formula to find all real solutions | Chegg.com
Solved Use the quadratic formula to find all real solutions | Chegg.com
Solved Use the quadratic formula to find all real solutions | Chegg.com
Guidelines for Solving Quadratic Equations and Applications
Guidelines for Solving Quadratic Equations and Applications
SOLVED:Use the quadratic formula to solve each equation. These ...
SOLVED:Use the quadratic formula to solve each equation. These ...
Solving Quadratics / Quadratic Equations - Real Solutions Practice
Solving Quadratics / Quadratic Equations - Real Solutions Practice
Solving quadratic equation by quadratic formula | PPT
Solving quadratic equation by quadratic formula | PPT
Guidelines for Solving Quadratic Equations and Applications
Guidelines for Solving Quadratic Equations and Applications
Unit 11 review of solving quadratic equations | Math, Algebra ...
Unit 11 review of solving quadratic equations | Math, Algebra ...
Guidelines for Solving Quadratic Equations and Applications
Guidelines for Solving Quadratic Equations and Applications
Solving Quadratic Equations - GCSE Maths - Revision - Worksheets Library
Solving Quadratic Equations - GCSE Maths - Revision - Worksheets Library
Quadratic Formula — Equation, How To Use & Examples
Quadratic Formula — Equation, How To Use & Examples
How to Solve Quadratic Equations – mathsathome.com
How to Solve Quadratic Equations – mathsathome.com
Quadratic Formula Equation How To Use Examples How To Teach Quadratic
Quadratic Formula Equation How To Use Examples How To Teach Quadratic
How to Solve Quadratic Equations? Solving Quadratics
How to Solve Quadratic Equations? Solving Quadratics
Quadratic Formula Equation How To Use Examples How To Teach Quadratic
Quadratic Formula Equation How To Use Examples How To Teach Quadratic
Quadratic Formula — Equation, How To Use & Examples
Quadratic Formula — Equation, How To Use & Examples
Quadratic Formula — Equation, How To Use & Examples
Quadratic Formula — Equation, How To Use & Examples
Solving Quadratic Equation - Math Steps, Examples & Questions
Solving Quadratic Equation - Math Steps, Examples & Questions
4 Ways to Solve Quadratic Equations - wikiHow
4 Ways to Solve Quadratic Equations - wikiHow
Quadratic Formula Examples
Quadratic Formula Examples
Solved Find all real solutions of the quadratic | Chegg.com
Solved Find all real solutions of the quadratic | Chegg.com
4 Ways to Solve Quadratic Equations - wikiHow
4 Ways to Solve Quadratic Equations - wikiHow
g_9 - L_1 Solving Quadratic Equations.pptx
g_9 - L_1 Solving Quadratic Equations.pptx
Quadratic Formula - MathBitsNotebook(A1)
Quadratic Formula - MathBitsNotebook(A1)
PPT - Mastering Quadratic Equations: Factorization, Formula ...
PPT - Mastering Quadratic Equations: Factorization, Formula ...
Section 1 2 Quadratic Equations Copyright 2012 Pearson
Section 1 2 Quadratic Equations Copyright 2012 Pearson
Solved Find all real solutions of the quadratic | Chegg.com
Solved Find all real solutions of the quadratic | Chegg.com
Quadratic Formula Worksheets - Math Monks
Quadratic Formula Worksheets - Math Monks
How to Solve Quadratic Equations? Solving Quadratics
How to Solve Quadratic Equations? Solving Quadratics
3 Ways to Solve Quadratic Equations - wikiHow
3 Ways to Solve Quadratic Equations - wikiHow
Solving Quadratic Equation Worksheets | Math Fun Worksheets
Solving Quadratic Equation Worksheets | Math Fun Worksheets
Solved Find all real solutions of the quadratic | Chegg.com
Solved Find all real solutions of the quadratic | Chegg.com
Quadratic Formula Steps
Quadratic Formula Steps
Quadratic Equations
Quadratic Equations
How To Solve Quadratic Equation A at Amanda Okane blog
How To Solve Quadratic Equation A at Amanda Okane blog
Quadratic Function Equation Examples
Quadratic Function Equation Examples
Quadratic Equation Solver
Quadratic Equation Solver
PPT - QUADRATIC FUNCTIONS PowerPoint Presentation, free download - ID ...
PPT - QUADRATIC FUNCTIONS PowerPoint Presentation, free download - ID ...
Quadratic Formula: Equation & Examples - Curvebreakers
Quadratic Formula: Equation & Examples - Curvebreakers
Simple Quadratic Equation
Simple Quadratic Equation
Quadratic Equation - Math Steps, Examples & Questions
Quadratic Equation - Math Steps, Examples & Questions
Quadratic Equation
Quadratic Equation
Solve quadratic equation with Step-by-Step Math Problem Solver
Solve quadratic equation with Step-by-Step Math Problem Solver
Solve quadratic equation with Step-by-Step Math Problem Solver
Solve quadratic equation with Step-by-Step Math Problem Solver
Solving Quadratics by Factoring (Real Solutions Only) Notes and Assignment
Solving Quadratics by Factoring (Real Solutions Only) Notes and Assignment
PPT - 4 th EDITION PowerPoint Presentation, free download - ID:3433205
PPT - 4 th EDITION PowerPoint Presentation, free download - ID:3433205

Loading image details...

Source
Dimensions