Evidence Log Thesis Outline for Essay

Evidence Log & Thesis Outline for Essay by Miss Sam's Learning Zone
Evidence Log & Thesis Outline for Essay by Miss Sam's Learning Zone
Evidence Log & Thesis Outline for Essay by Miss Sam's Learning Zone
Evidence Log & Thesis Outline for Essay by Miss Sam's Learning Zone
Essay Outline Worksheet: Thesis & Evidence
Essay Outline Worksheet: Thesis & Evidence
Texts Evidence Log & Essay outline - Unit 4: Independent Learning ...
Texts Evidence Log & Essay outline - Unit 4: Independent Learning ...
Essay Evidence Log by Thrive Tutoring TN | TPT
Essay Evidence Log by Thrive Tutoring TN | TPT
Essay Evidence Log by Sideshow Stella | TPT
Essay Evidence Log by Sideshow Stella | TPT
Essay Evidence Log by Thrive Tutoring TN | TPT
Essay Evidence Log by Thrive Tutoring TN | TPT
Exploring Outsiders: Evidence Log for Argumentative Essays | Course Hero
Exploring Outsiders: Evidence Log for Argumentative Essays | Course Hero
Thesis Essay Outline at getrileyblog Blog
Thesis Essay Outline at getrileyblog Blog
Claim Evidence Reasoning Essay outline with rebuttal evidence | TpT
Claim Evidence Reasoning Essay outline with rebuttal evidence | TpT
5 Paragraph Essay WITH Evidence OUTLINE by Mrs History | TpT
5 Paragraph Essay WITH Evidence OUTLINE by Mrs History | TpT
Essay Outline Template for Structuring Your Ideas - Studocu
Essay Outline Template for Structuring Your Ideas - Studocu
Creating an Evidence Log for Crafting Influential Arguments: | Course Hero
Creating an Evidence Log for Crafting Influential Arguments: | Course Hero
Argumentative Essay Outline Guide | PDF | Essays | Evidence
Argumentative Essay Outline Guide | PDF | Essays | Evidence
Exploring Outsiders and Insiders: Evidence Log for Argumentative ...
Exploring Outsiders and Insiders: Evidence Log for Argumentative ...
EAPP MT1 Evidence Log Outline Template | PDF | Clinical Medicine ...
EAPP MT1 Evidence Log Outline Template | PDF | Clinical Medicine ...
Essay Outline - Fill It In! | PDF | Evidence | Essays
Essay Outline - Fill It In! | PDF | Evidence | Essays
Forensic Science Evidence Collection Log | Word & PDF Templates for ...
Forensic Science Evidence Collection Log | Word & PDF Templates for ...
Comprehensive Evidence Log Sheet for Investigative Analysis | Course Hero
Comprehensive Evidence Log Sheet for Investigative Analysis | Course Hero
How To Do An Essay Outline | PDF | Essays | Evidence
How To Do An Essay Outline | PDF | Essays | Evidence
PSY204 - Task 2 - Critical Essay - How to ... Outline Evidence in the ...
PSY204 - Task 2 - Critical Essay - How to ... Outline Evidence in the ...
Forensic Science Evidence Collection Log | Word & PDF Templates for ...
Forensic Science Evidence Collection Log | Word & PDF Templates for ...
Evidence Outline - Used to study for Finals. - Evidence Outline Fall ...
Evidence Outline - Used to study for Finals. - Evidence Outline Fall ...
Evidence Log for SOCO Report 24-1234 | PDF
Evidence Log for SOCO Report 24-1234 | PDF
Terina Tulsie - AP Lang Evidence Log for Argument essay.pdf - Evidence ...
Terina Tulsie - AP Lang Evidence Log for Argument essay.pdf - Evidence ...
Argumentative Essay Outline Template - Organize Your Evidence and ...
Argumentative Essay Outline Template - Organize Your Evidence and ...
Evidence Log Sheet Printable This Evidence Log Evidence Log Archive
Evidence Log Sheet Printable This Evidence Log Evidence Log Archive
Evidence Log - AP Lang - Evidence Log Be a part of the unending ...
Evidence Log - AP Lang - Evidence Log Be a part of the unending ...
Copy of Copy of AP Lang Evidence Log - Evidence Log be a part of the ...
Copy of Copy of AP Lang Evidence Log - Evidence Log be a part of the ...
Evidence Log Sheet - Forensic Science by Teacher Troy | TPT
Evidence Log Sheet - Forensic Science by Teacher Troy | TPT
Argument Evidence Logs Print-1 - Evidence Log!: For each prompt ...
Argument Evidence Logs Print-1 - Evidence Log!: For each prompt ...
High School - The Odyssey Evidence Log - Odysseus Character Trait ...
High School - The Odyssey Evidence Log - Odysseus Character Trait ...
Evidence Log Sheet – Essential Forensic Science Documentation Tool
Evidence Log Sheet – Essential Forensic Science Documentation Tool
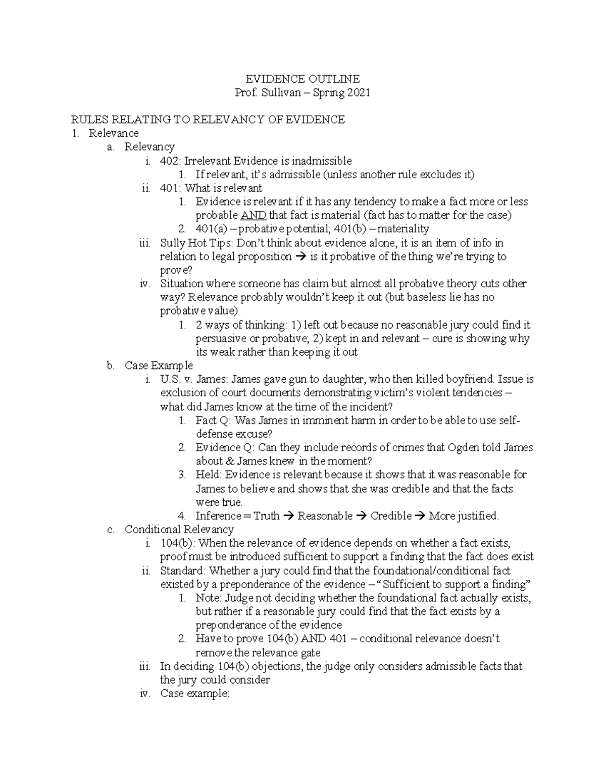
EVIDENCE OUTLINE | Relevance (Law) | Evidence
EVIDENCE OUTLINE | Relevance (Law) | Evidence
Ismael Islas - L.B.-Evidence Log 1 .pdf - Evidence Log Directions ...
Ismael Islas - L.B.-Evidence Log 1 .pdf - Evidence Log Directions ...
Evidence Outline | PDF | Relevance (Law) | Evidence (Law)
Evidence Outline | PDF | Relevance (Law) | Evidence (Law)
Free Informative Essay Outline Template - WordLayouts
Free Informative Essay Outline Template - WordLayouts
Evidence Log Sheet Printable 50 Printable Log Sheet Templates [Direct
Evidence Log Sheet Printable 50 Printable Log Sheet Templates [Direct
Evidence Outline | LAW 605 - Evidence - ASU | Thinkswap
Evidence Outline | LAW 605 - Evidence - ASU | Thinkswap
Craft an Effective Essay with Our Outline Template - Claim, Statement ...
Craft an Effective Essay with Our Outline Template - Claim, Statement ...
18 Thesis Outline Templates And Examples Word Pdf Format - Free Word ...
18 Thesis Outline Templates And Examples Word Pdf Format - Free Word ...
15+ Thesis Outline Templates - Sample ,Example, Format Download
15+ Thesis Outline Templates - Sample ,Example, Format Download
Evidence Outline 2020 - Evidence Pucillo – Spring 2020 Kylee Nemetz ...
Evidence Outline 2020 - Evidence Pucillo – Spring 2020 Kylee Nemetz ...
Organize Your Paper: Outline with Evidence Plan & Topic Sentences ...
Organize Your Paper: Outline with Evidence Plan & Topic Sentences ...
18 Thesis Outline Templates and Examples (Word | PDF Format)
18 Thesis Outline Templates and Examples (Word | PDF Format)
(PDF) Thesis Writing : Evidence in the Humanities
(PDF) Thesis Writing : Evidence in the Humanities
35 Free Essay Outline Templates | How to Write (9 Types)
35 Free Essay Outline Templates | How to Write (9 Types)
15+ Thesis Outline Templates - Sample ,Example, Format Download
15+ Thesis Outline Templates - Sample ,Example, Format Download
Evidence Log Book Journal Planner Graphic by Vector Cafe · Creative Fabrica
Evidence Log Book Journal Planner Graphic by Vector Cafe · Creative Fabrica
- Evidence Log Instructions - Studocu
- Evidence Log Instructions - Studocu
Evidence Log Sheet Form Book Template Evidence Recovery Collection Log ...
Evidence Log Sheet Form Book Template Evidence Recovery Collection Log ...
Identification Evidence Essay Structure - IDENTIFICATION EVIDENCE ESSAY ...
Identification Evidence Essay Structure - IDENTIFICATION EVIDENCE ESSAY ...
Research Three Ways Evidence Log | Facing History & Ourselves
Research Three Ways Evidence Log | Facing History & Ourselves
Evidence Outline - EVIDENCE OUTLINE Prof. Sullivan – Spring 2021 RULES ...
Evidence Outline - EVIDENCE OUTLINE Prof. Sullivan – Spring 2021 RULES ...
21-22 09H Unit 2 Evidence Log Template.docx - Evidence Log 2. Your ...
21-22 09H Unit 2 Evidence Log Template.docx - Evidence Log 2. Your ...
Text Evidence Log by PghLittleMissP | TPT
Text Evidence Log by PghLittleMissP | TPT
12 ways to introduce textual evidence in your essay | Academic essay ...
12 ways to introduce textual evidence in your essay | Academic essay ...
Citing Textual Evidence Template for Writing Personal Essays and ...
Citing Textual Evidence Template for Writing Personal Essays and ...
Thesis, Evidence and Outline Presentation by OCBeachTeacher | TpT
Thesis, Evidence and Outline Presentation by OCBeachTeacher | TpT
Citing Textual Evidence Template for Writing Personal Essays and ...
Citing Textual Evidence Template for Writing Personal Essays and ...
Using Evidence in an essay - pg 16 Evidence 1. How do we conduct ...
Using Evidence in an essay - pg 16 Evidence 1. How do we conduct ...
Evidence Outline .docx - Tyler Emory Professor John Myers Evidence ...
Evidence Outline .docx - Tyler Emory Professor John Myers Evidence ...
Evidence outline - EVIDENCE Testimony, writings, material objects or ...
Evidence outline - EVIDENCE Testimony, writings, material objects or ...
"The Odyssey" Essay Outline, Evidence Guide, and Rubric (EMILY WILSON)
"The Odyssey" Essay Outline, Evidence Guide, and Rubric (EMILY WILSON)
Free Informative Essay Outline Template - WordLayouts
Free Informative Essay Outline Template - WordLayouts
Outline & Thesis Statement - English 101 (Holland) - LibGuides at ...
Outline & Thesis Statement - English 101 (Holland) - LibGuides at ...
Evidence Log Sheet Template 54+ FREE Log Sheet Samples To Download
Evidence Log Sheet Template 54+ FREE Log Sheet Samples To Download
Evidence – Long Outline - Evidence – Long Outline Course - Studocu
Evidence – Long Outline - Evidence – Long Outline Course - Studocu
Evidence Essay Outlines
Evidence Essay Outlines
Informative Essay Outline Template Download Printable PDF | Templateroller
Informative Essay Outline Template Download Printable PDF | Templateroller
Thesis, Evidence and Outline Presentation by OCBeachTeacher | TpT
Thesis, Evidence and Outline Presentation by OCBeachTeacher | TpT
FREE 12+ Essay Outline Samples in PDF, Word
FREE 12+ Essay Outline Samples in PDF, Word
Evidence outline - Evidence Introduction to evidence Admissibility of ...
Evidence outline - Evidence Introduction to evidence Admissibility of ...
Evidence Log Sheet Template 54+ FREE Log Sheet Samples To Download
Evidence Log Sheet Template 54+ FREE Log Sheet Samples To Download
Evidence Inventory Printable PDF | Case File Evidence Log Template ...
Evidence Inventory Printable PDF | Case File Evidence Log Template ...
Thesis, Evidence and Outline Presentation by OCBeachTeacher | TpT
Thesis, Evidence and Outline Presentation by OCBeachTeacher | TpT
Evidence Log Sheet Printable
Evidence Log Sheet Printable
EVIDENCE Outline | Relevance (Law) | Evidence (Law)
EVIDENCE Outline | Relevance (Law) | Evidence (Law)
💄 Thesis statement and outline. 18 Thesis Outline Templates and ...
💄 Thesis statement and outline. 18 Thesis Outline Templates and ...
Printable Evidence Log Sheet
Printable Evidence Log Sheet
Research Project- Evidence Outline by Hillary Roberge | TPT
Research Project- Evidence Outline by Hillary Roberge | TPT
Sample Blank Outline Template for Creating Document or Project
Sample Blank Outline Template for Creating Document or Project
Editable - Literary Analysis Evidence Log by LitLoot | TPT
Editable - Literary Analysis Evidence Log by LitLoot | TPT
Literary Analysis Essay Outline Template - WordLayouts
Literary Analysis Essay Outline Template - WordLayouts
35 Free Essay Outline Templates | How to Write (9 Types)
35 Free Essay Outline Templates | How to Write (9 Types)
Evidence Essay Structure: A Guide to Understanding and Application ...
Evidence Essay Structure: A Guide to Understanding and Application ...
Evidence Outline Spring 19 LONG.docx - 1 Evidence Outline Spring 2020 0 ...
Evidence Outline Spring 19 LONG.docx - 1 Evidence Outline Spring 2020 0 ...
Evidence Log Sheet Template
Evidence Log Sheet Template
Evidence Log Sheet Printable This Evidence Log Evidence Log Archive
Evidence Log Sheet Printable This Evidence Log Evidence Log Archive
How to Use an Evidence Log to Enhance Your Reading and Writing | Course ...
How to Use an Evidence Log to Enhance Your Reading and Writing | Course ...
Free Essay Outline Templates - Customize, Download & Print PDF ...
Free Essay Outline Templates - Customize, Download & Print PDF ...
Evidence- Outline - Professor Lisy - Evidence Outline Professor Lisy ...
Evidence- Outline - Professor Lisy - Evidence Outline Professor Lisy ...
How to Use the Log of Evidence Template - YouTube
How to Use the Log of Evidence Template - YouTube
Thesis Outline Template: Structure & Example
Thesis Outline Template: Structure & Example
How to Introduce Evidence in an Essay: 14 Steps (with Pictures)
How to Introduce Evidence in an Essay: 14 Steps (with Pictures)
Free Simple Evidence-Based Academic Essay Template to Edit Online
Free Simple Evidence-Based Academic Essay Template to Edit Online
Guide to Writing Evidence Essays in Legal Proceedings | Course Hero
Guide to Writing Evidence Essays in Legal Proceedings | Course Hero
How To Write An Essay Outline?
How To Write An Essay Outline?
Resuelto:What is the purpose of a thesis statement in an essay? To ...
Resuelto:What is the purpose of a thesis statement in an essay? To ...
4.04 Argument Essay Introduction & Outline: AI in Education - Studocu
4.04 Argument Essay Introduction & Outline: AI in Education - Studocu
Free Thesis Statement Template - WordLayouts
Free Thesis Statement Template - WordLayouts
How to Write a Research Paper Outline With Examples & Tips
How to Write a Research Paper Outline With Examples & Tips
PPT - Structure of an essay PowerPoint Presentation, free download - ID ...
PPT - Structure of an essay PowerPoint Presentation, free download - ID ...
Evidence-Based Practice Essay [1882 words] | Nursing Paper
Evidence-Based Practice Essay [1882 words] | Nursing Paper
Expert Tips for Writing a Thesis: Crafting Solid Topics and Strong ...
Expert Tips for Writing a Thesis: Crafting Solid Topics and Strong ...
45 Perfect Thesis Statement Templates (+ Examples) ᐅ TemplateLab
45 Perfect Thesis Statement Templates (+ Examples) ᐅ TemplateLab
FREE 8+ Sample Research Paper Outline Templates in PDF
FREE 8+ Sample Research Paper Outline Templates in PDF
C.H.O.R.E.S.: Adding Evidence to Argument/Persuasive Essays (ORIGINAL)
C.H.O.R.E.S.: Adding Evidence to Argument/Persuasive Essays (ORIGINAL)
R.A.C.E Writing Template for Teachers | Perfect for grades 10th, 11th ...
R.A.C.E Writing Template for Teachers | Perfect for grades 10th, 11th ...
Essay Outlines & The Claim, Evidence, Commentary
Essay Outlines & The Claim, Evidence, Commentary
Free Thesis Statement Template - WordLayouts
Free Thesis Statement Template - WordLayouts
PPT - Identifying a Thesis PowerPoint Presentation, free download - ID ...
PPT - Identifying a Thesis PowerPoint Presentation, free download - ID ...
Thesis Outline: Template, Format, Writing Guide – TWPFPC
Thesis Outline: Template, Format, Writing Guide – TWPFPC
Types of Evidence: Key Examples Explained
Types of Evidence: Key Examples Explained
Writing Process. - ppt download
Writing Process. - ppt download
Building a Paper (Thesis statement and Detailed Outline).pptx
Building a Paper (Thesis statement and Detailed Outline).pptx
10 Step Argumentative Writing Process-Thesis, Evidence, Counterargument ...
10 Step Argumentative Writing Process-Thesis, Evidence, Counterargument ...
EBP Paper Instructions and Rubric - Evidence-Based Practice (EBP) Paper ...
EBP Paper Instructions and Rubric - Evidence-Based Practice (EBP) Paper ...
Page 99 Free Templates & Examples - Edit Online & Download
Page 99 Free Templates & Examples - Edit Online & Download
ENGL 101Essay 3 ThesisOutline Instructions and ChecklistCause.docx
ENGL 101Essay 3 ThesisOutline Instructions and ChecklistCause.docx

Loading image details...

Source
Dimensions