Civil War Cereal Box Inquiry Project

Civil War Cereal Box Inquiry Project by Classroom Resources by BASK
Civil War Cereal Box Inquiry Project by Classroom Resources by BASK
Civil War Cereal Box Inquiry Project by Classroom Resources by BASK
Civil War Cereal Box Inquiry Project by Classroom Resources by BASK
Civil War Cereal Box Project Assignment
Civil War Cereal Box Project Assignment
Civil War Cereal Box Biography Project
Civil War Cereal Box Biography Project
Civil War Cereal Box Project Introduction In the 19
Civil War Cereal Box Project Introduction In the 19
Civil War Cereal Box Project Introduction In the 19
Civil War Cereal Box Project Introduction In the 19
Civil War Cereal Box Biography Project
Civil War Cereal Box Biography Project
Civil War Cereal Box Biography Project
Civil War Cereal Box Biography Project
Civil War Cereal Box Project: Printable & Digital Resource Over 50 pages
Civil War Cereal Box Project: Printable & Digital Resource Over 50 pages
American Civil War Cereal Project - YouTube
American Civil War Cereal Project - YouTube
Civil Rights Hero Cereal Box Project Assignment
Civil Rights Hero Cereal Box Project Assignment
World War I Cereal Box Project by Kimberly Tatuem | TPT
World War I Cereal Box Project by Kimberly Tatuem | TPT
American Revolutionary War Cereal Box Project Activity US History by ...
American Revolutionary War Cereal Box Project Activity US History by ...
American Revolutionary War Cereal Box Project Activity US History by ...
American Revolutionary War Cereal Box Project Activity US History by ...
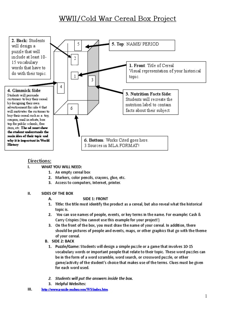
Ec Cereal Box Project Wwii Cold War | PDF | Advertising | Communication
Ec Cereal Box Project Wwii Cold War | PDF | Advertising | Communication
The American Civil War (1861-1865) Cereal Box: History Meets Creativity
The American Civil War (1861-1865) Cereal Box: History Meets Creativity
The American Civil War (1861-1865) Cereal Box: History Meets Creativity
The American Civil War (1861-1865) Cereal Box: History Meets Creativity
The American Civil War (1861-1865) Cereal Box: History Meets Creativity
The American Civil War (1861-1865) Cereal Box: History Meets Creativity
Cereal box project examples – Artofit
Cereal box project examples – Artofit
Kellogg's CAPTAIN AMERICA: CIVIL WAR CEREAL Review - YouTube
Kellogg's CAPTAIN AMERICA: CIVIL WAR CEREAL Review - YouTube
Black History Month Research Project | History Crunch Cereal Box
Black History Month Research Project | History Crunch Cereal Box
Historical Person Cereal Box Project
Historical Person Cereal Box Project
Texas History Exploration Cereal Box Project Directions and Rubric by ...
Texas History Exploration Cereal Box Project Directions and Rubric by ...
Cereal box project – Artofit
Cereal box project – Artofit
Black History Month Research Project Women's History Month Cereal Box ...
Black History Month Research Project Women's History Month Cereal Box ...
Cereal Box Project for Historical Figure with Rubric by Jessica Reyes
Cereal Box Project for Historical Figure with Rubric by Jessica Reyes
President Cereal Box Project by ms harris history | TPT
President Cereal Box Project by ms harris history | TPT
American Revolution Cereal Box Project by The High School History Classroom
American Revolution Cereal Box Project by The High School History Classroom
Captain America: Civil War Cereal | MrBreakfast.com
Captain America: Civil War Cereal | MrBreakfast.com
Civil War Cereal box, Iron Man side. by Gamekirby on DeviantArt
Civil War Cereal box, Iron Man side. by Gamekirby on DeviantArt
Black History Month Research Project | History Crunch Cereal Box
Black History Month Research Project | History Crunch Cereal Box
Black History Month: Cereal Box Project by Education Made Fun | TPT
Black History Month: Cereal Box Project by Education Made Fun | TPT
Black History Month Cereal Box Project by The Mailbox Teacher | TPT
Black History Month Cereal Box Project by The Mailbox Teacher | TPT
Black History Month Cereal Box Research Project - Etsy
Black History Month Cereal Box Research Project - Etsy
Simply Elementary!: Biography Cereal Box Project
Simply Elementary!: Biography Cereal Box Project
Cereal Box Biography Project Presentation
Cereal Box Biography Project Presentation
College Cereal Box Research Project by Danco Resources | TPT
College Cereal Box Research Project by Danco Resources | TPT
Ancient American Cereal Box Project by The Hawthorne Effect | TPT
Ancient American Cereal Box Project by The Hawthorne Effect | TPT
Biography Cereal Box Project by HappyHandingOffHistory | TPT
Biography Cereal Box Project by HappyHandingOffHistory | TPT
Cereal Box Project
Cereal Box Project
Biography Cereal Box Project by HappyHandingOffHistory | TPT
Biography Cereal Box Project by HappyHandingOffHistory | TPT
Cereal Box Upcycled Crafts Project
Cereal Box Upcycled Crafts Project
Cereal Box Biography Research Project by Elle Messenger | TPT
Cereal Box Biography Research Project by Elle Messenger | TPT
Women in History Cereal Box Project by Kimberly Tatuem | TPT
Women in History Cereal Box Project by Kimberly Tatuem | TPT
Black History Month Cereal Box Research Project - Etsy
Black History Month Cereal Box Research Project - Etsy
Historical Landmark: Cereal Box Project by MrsMeyerClassroom | TPT
Historical Landmark: Cereal Box Project by MrsMeyerClassroom | TPT
Captain America: Civil War Cereal | MrBreakfast.com
Captain America: Civil War Cereal | MrBreakfast.com
Black History Month Cereal Box Research Project - Etsy
Black History Month Cereal Box Research Project - Etsy
Black History Month Cereal Box Project | Editable | Research & Presentation
Black History Month Cereal Box Project | Editable | Research & Presentation
Civil War Mini Museum: Research Project by Mrs Mama Llama | TPT
Civil War Mini Museum: Research Project by Mrs Mama Llama | TPT
Black History Month Research Project Women's History Month Cereal Box ...
Black History Month Research Project Women's History Month Cereal Box ...
Women in History Biography Research Cereal Box Project for Primary ...
Women in History Biography Research Cereal Box Project for Primary ...
Project Based Learning: The Process behind the Cereal Box Project - YouTube
Project Based Learning: The Process behind the Cereal Box Project - YouTube
State Research Project - Hands On Cereal Box Presentation Activity ...
State Research Project - Hands On Cereal Box Presentation Activity ...
Abolitionist Cereal Box Biography Project
Abolitionist Cereal Box Biography Project
Cereal Box Project Template
Cereal Box Project Template
Biography cereal box project – Artofit
Biography cereal box project – Artofit
Simply Elementary!: Biography Cereal Box Project
Simply Elementary!: Biography Cereal Box Project
Cereal Box Book Report Template- Project Directions, Rubric & Example ...
Cereal Box Book Report Template- Project Directions, Rubric & Example ...
Black History Month Cereal Box Project by The Mailbox Teacher | TPT
Black History Month Cereal Box Project by The Mailbox Teacher | TPT
Black History Month Cereal Box Project by The Mailbox Teacher | TPT
Black History Month Cereal Box Project by The Mailbox Teacher | TPT
European Country Cereal Box Research Project by Creations by Kate
European Country Cereal Box Research Project by Creations by Kate
Cereal Box Project for Historical Figure with Rubric by Jessica Reyes
Cereal Box Project for Historical Figure with Rubric by Jessica Reyes
Cereal Box Research Project by Techy-Town Teacher | TPT
Cereal Box Research Project by Techy-Town Teacher | TPT
Cereal Box Project Examples
Cereal Box Project Examples
Awasome Cereal Box Biography Project Template
Awasome Cereal Box Biography Project Template
Women in History Biography Research Cereal Box Project for Primary Grades
Women in History Biography Research Cereal Box Project for Primary Grades
Cereal Box Project Template
Cereal Box Project Template
Captain America: Civil War Cereal / シビル・ウォー/キャプテン・アメリカ ~ I'm Made of ...
Captain America: Civil War Cereal / シビル・ウォー/キャプテン・アメリカ ~ I'm Made of ...
European Country Cereal Box Research Project by Creations by Kate
European Country Cereal Box Research Project by Creations by Kate
Cereal Box Project Examples
Cereal Box Project Examples
Biography cereal box project – Artofit
Biography cereal box project – Artofit
Cereal Box Book Project
Cereal Box Book Project
Cold War Cereal Box Project: Printable & Digital Resource | TPT
Cold War Cereal Box Project: Printable & Digital Resource | TPT
President Cereal Box Project by Lindsey M Bailey | TpT
President Cereal Box Project by Lindsey M Bailey | TpT
American Indians Cereal Box Project by Megan Hawkins | TPT
American Indians Cereal Box Project by Megan Hawkins | TPT
Republic of Texas Cereal Box Project Texas History by HistoTeam | TPT
Republic of Texas Cereal Box Project Texas History by HistoTeam | TPT
Cereal Box Book Report Template Project Research | Biography | Places ...
Cereal Box Book Report Template Project Research | Biography | Places ...
Captain America: Civil War Cereal / シビル・ウォー/キャプテン・アメリカ ~ I'm Made of ...
Captain America: Civil War Cereal / シビル・ウォー/キャプテン・アメリカ ~ I'm Made of ...
Cereal Box Biography Project Template - Printable And Enjoyable Learning
Cereal Box Biography Project Template - Printable And Enjoyable Learning
Cereal Box Project Template
Cereal Box Project Template
Spooned & Spotted: Kellogg’s Captain America Civil War Cereal - Cerealously
Spooned & Spotted: Kellogg’s Captain America Civil War Cereal - Cerealously
Creative Cereal Box Book Report Project for Kids
Creative Cereal Box Book Report Project for Kids
Simply Elementary!: Biography Cereal Box Project | Cereal box book ...
Simply Elementary!: Biography Cereal Box Project | Cereal box book ...
World War II Cereal Box by SoDorkyTeacher | TPT
World War II Cereal Box by SoDorkyTeacher | TPT
Texas History Exploration Cereal Box Project Directions and Rubric by ...
Texas History Exploration Cereal Box Project Directions and Rubric by ...
14 Cereal Box Ideas | book report, cereal box book report, cereal box
14 Cereal Box Ideas | book report, cereal box book report, cereal box
US History Cereal Box Project: Progressive Era Reformers
US History Cereal Box Project: Progressive Era Reformers
Design an American Hero Cereal Box (End of Year US History Project)
Design an American Hero Cereal Box (End of Year US History Project)
Historical Cereal Box Project: Uncover the Past with Creativity!
Historical Cereal Box Project: Uncover the Past with Creativity!
Cereal Box Book Report Instructions | me-and-myloveaffairs
Cereal Box Book Report Instructions | me-and-myloveaffairs
Design an American Hero Cereal Box (End of Year US History Project)
Design an American Hero Cereal Box (End of Year US History Project)
American Revolution Cereal Box Project: Printable & Digital Versions
American Revolution Cereal Box Project: Printable & Digital Versions
1000+ images about Civil War Projects on Pinterest | Civil wars ...
1000+ images about Civil War Projects on Pinterest | Civil wars ...
Progressive Era & Gilded Age Cereal Box Project: Printable & Digital ...
Progressive Era & Gilded Age Cereal Box Project: Printable & Digital ...
Cereal Box Biography at Julian Romilly blog
Cereal Box Biography at Julian Romilly blog
APUSH Cereal Box Project: Progressive Era History
APUSH Cereal Box Project: Progressive Era History
Historical Cereal Box Project: Uncover the Past with Creativity!
Historical Cereal Box Project: Uncover the Past with Creativity!
Historical Cereal Box Project: Uncover the Past with Creativity!
Historical Cereal Box Project: Uncover the Past with Creativity!
PPT - Government Cereal Box Activity PowerPoint Presentation, free ...
PPT - Government Cereal Box Activity PowerPoint Presentation, free ...
Exploration Cereal Box Project: Printable & Digital Resource - Over 50 ...
Exploration Cereal Box Project: Printable & Digital Resource - Over 50 ...
Cereal Box Book Reports | School Writing and CA
Cereal Box Book Reports | School Writing and CA
Native Americans Cereal Box Project: Printable & Digital Versions, 50 ...
Native Americans Cereal Box Project: Printable & Digital Versions, 50 ...
Cereal Box Heroes - OLS Library Media Center
Cereal Box Heroes - OLS Library Media Center
Black History Cereal Box Book Report Form - Fill Online, Printable ...
Black History Cereal Box Book Report Form - Fill Online, Printable ...
10 best Civil War Projects images on Pinterest | Classroom ideas ...
10 best Civil War Projects images on Pinterest | Classroom ideas ...
2012-2013 Student Project Gallery - Mr. Hunter's 5th Grade Class Website
2012-2013 Student Project Gallery - Mr. Hunter's 5th Grade Class Website
2012-2013 Student Project Gallery - Mr. Hunter's 5th Grade Class Website
2012-2013 Student Project Gallery - Mr. Hunter's 5th Grade Class Website
2012-2013 Student Project Gallery - Mr. Hunter's 5th Grade Class Website
2012-2013 Student Project Gallery - Mr. Hunter's 5th Grade Class Website
2012-2013 Student Project Gallery - Mr. Hunter's 5th Grade Class Website
2012-2013 Student Project Gallery - Mr. Hunter's 5th Grade Class Website
2012-2013 Student Project Gallery - Mr. Hunter's 5th Grade Class Website
2012-2013 Student Project Gallery - Mr. Hunter's 5th Grade Class Website
Pin by Ashley Stone on Ezra - project ideas | Black history month ...
Pin by Ashley Stone on Ezra - project ideas | Black history month ...
Cereal Boxes Projects at Rafaela Woodruff blog
Cereal Boxes Projects at Rafaela Woodruff blog
Davis Gidney Teaching Resources | Teachers Pay Teachers
Davis Gidney Teaching Resources | Teachers Pay Teachers
Mrs Butler's Class Teaching Resources | Teachers Pay Teachers
Mrs Butler's Class Teaching Resources | Teachers Pay Teachers
NOVEMBER - Mrs. Orlando's American History
NOVEMBER - Mrs. Orlando's American History
Sean Bowen Teaching Resources | Teachers Pay Teachers
Sean Bowen Teaching Resources | Teachers Pay Teachers
NOVEMBER - Mrs. Orlando's American History
NOVEMBER - Mrs. Orlando's American History
13 Cereals Based on Movies and TV Shows
13 Cereals Based on Movies and TV Shows
HistoTeam Teaching Resources | Teachers Pay Teachers
HistoTeam Teaching Resources | Teachers Pay Teachers

Loading image details...

Source
Dimensions